Asset Type: Publications, Discovery, In-house Clinical and Imaging Centers, CNS

Dopamine Antagonist & Partial Agonist Antipsychotics and the Glutamatergic System

Dopamine Antagonist & Partial Agonist Antipsychotics and the Glutamatergic System

A double-blind 1H-MRS study revealing how antipsychotics alter glutamate-related metabolites in the healthy brain.

Publication Title: The effects of dopamine receptor antagonist and partial agonist antipsychotics on the glutamatergic system: double-blind, randomised, placebo-controlled 1H-MRS cross-over study in healthy volunteers

Authors: Uzma Zahid, Martin Osugo, Pierluigi Selvaggi, David J Lythgoe, Cátia Fortunato, Kelly Diederen, Amanda Kiemes, Matthew B Wall, Thomas Whitehurst, Ellis Chika Onwordi, Ben Statton, Alaine Berry, Mihail Dimitrov, Robin Lau, Robert A McCutcheon, Robin Murray, Tiago Reis Marques, Mitul A Mehta, Oliver D Howes 

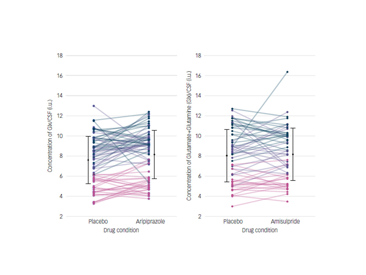
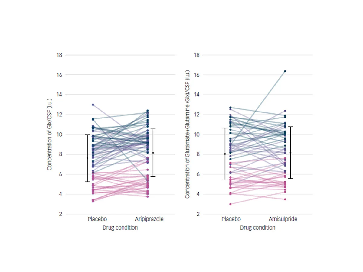
This publication reports one of the first placebo-controlled, cross-over 1H-MRS studies evaluating how dopamine D2 antagonists and partial agonists modulate the glutamatergic system in healthy volunteers. The work provides critical insights into how antipsychotics influence glutamate + glutamine (Glx) independent of disease pathology — a key step toward disentangling drug effects from illness effects in schizophrenia research.

Why Read this Publication:

  • Reveals significant Glx increases following aripiprazole compared with placebo.
  • Helps clarify the relationship between dopaminergic and glutamatergic signaling.
  • Uses a rigorous double-blind, cross-over, placebo-controlled design.
  • Supports improved interpretation of glutamate findings in clinical neuroimaging.
  • Provides translational insights for developing next-generation antipsychotics.

Learn more about Perceptive Discovery’s preclinical and translational CNS services here